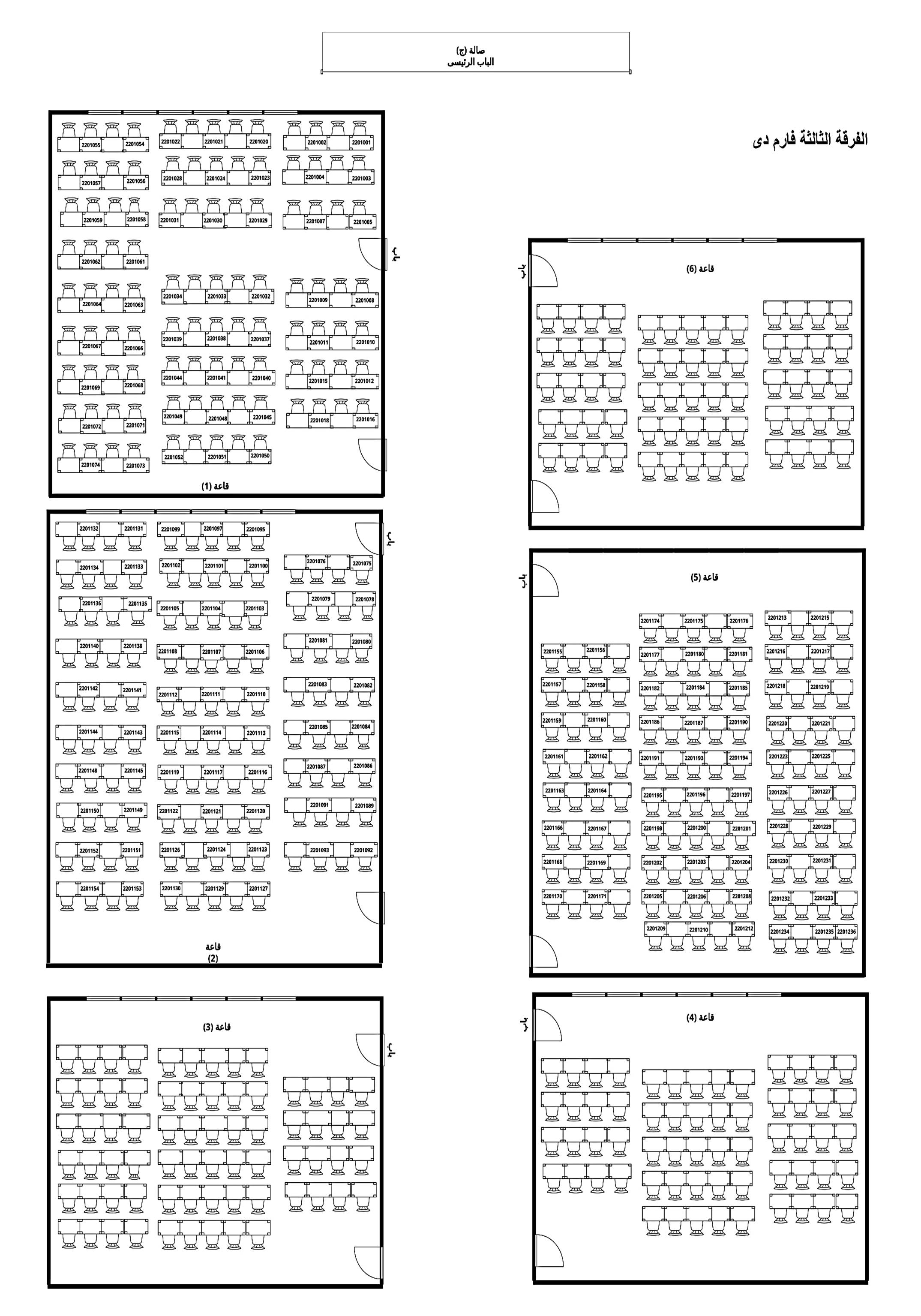
The locations of the Faculty of Pharmacy exam committees of third-year students, Pharm D, in the electronic examination center, hall (C), in front of the Faculty of Dentistry
The locations of the Faculty of Pharmacy exam committees of third-year students, Pharm D, in the electronic examination center, hall (C), in front of the Faculty of Dentistry