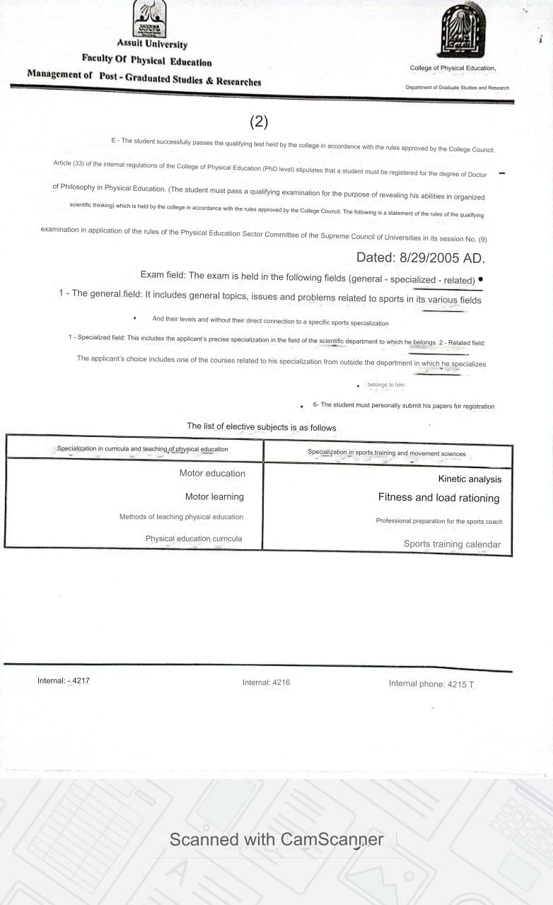
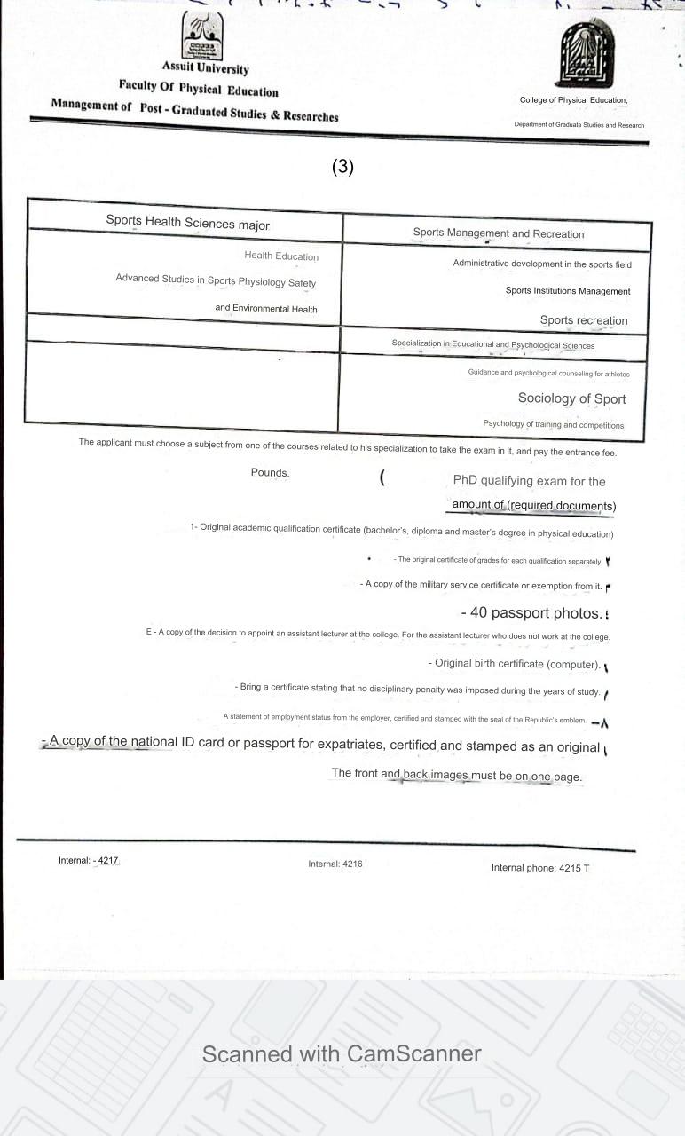
Announcement of PhD registration for the academic year 2024/2025 29 August 2024 Announcement of PhD registration for the academic year 2024/2025